ΑΝΑΖΗΤΗΣΗ ΣΠΟΥΔΩΝ
ΕΚΠΑΙΔΕΥΣΗ
Προπτυχιακές/Μεταπτυχιακές Σπουδές
ΣΠΟΥΔΕΣ ΜΕ ΠΡΟΟΠΤΙΚΕΣ
Σπουδές για Επαγγέλματα με προοπτικές
Λίστες Αξιολόγησης Πανεπιστημίων
ΧΡΗΜΑΤΟΔΟΤΗΣΗ ΣΠΟΥΔΩΝ
ΧΡΗΣΤΙΚΕΣ ΠΛΗΡΟΦΟΡΙΕΣ
ΕΠΑΓΓΕΛΜΑΤΑ-ΕΡΓΑΣΙΑ
ΕΠΑΓΓΕΛΜΑΤΑ-ΕΙΔΙΚΟΤΗΤΕΣ
Σύστημα Αναζήτησης Επαγγέλματος
ΕΠΑΓΓΕΛΜΑΤΑ ΜΕ ΠΡΟΟΠΤΙΚΕΣ
ΑΝΑΖΗΤΗΣΗ ΕΡΓΑΣΙΑΣ
Σύνταξη Βιογραφικού και Υποδείγματα
Σύνταξη Συνοδευτικής Επιστολής και
Υποδείγματα
Προετοιμασία για τη Συνέντευξη
ΕΡΓΑΣΙΑ ΣΤΗΝ ΕΥΡΩΠΑΪΚΗ ΕΝΩΣΗ
ΕΡΕΥΝΑ ΚΑΙ ΑΝΑΠΤΥΞΗ
ΕΛΛΑΔΑ
ΕΥΡΩΠΗ


ΠΑΝΕΛΛΑΔΙΚΕΣ ΕΞΕΤΑΣΕΙΣ
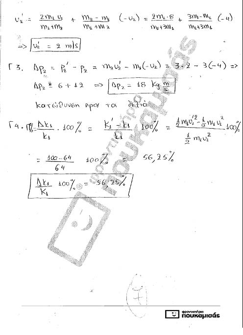
Γ΄ ΤΑΞΗΣ ΗΜΕΡΗΣΙΟΥ ΓΕΝΙΚΟΥ ΛΥΚΕΙΟΥ
ΔΕΥΤΕΡΑ 23 ΜΑΪΟΥ 2016
ΕΞΕΤΑΖΟΜΕΝΟ ΜΑΘΗΜΑ: ΦΥΣΙΚΗ
ΠΡΟΣΑΝΑΤΟΛΙΣΜΟΥ (ΝΕΟ ΣΥΣΤΗΜΑ)
Οι προτεινόμενες απαντήσεις όπως τις έδωσε το φροντιστήρια Πουκαμισάς.







Σκοπός της Edujob e-mentoring είναι να σας υποστηρίξει και να σας καθοδηγήσει ώστε να ανακαλύψετε τα προσόντα και τις δυνατότητες σας προκειμένου να λάβετε τις καταλληλότερες για εσάς αποφάσεις για την εκπαιδευτική και την επαγγελματική σας πορεία. Διαβάστε Περισσότερα
| ΠΥΛΗ EDUJOB Σύστημα Αναζήτησης Σπουδών όλων των βαθμίδων σε Ελλάδα και Εξωετεροκό Λίστες Αξιολόγησης Πανεπιστημίων Σύστημα Εύρεσης Επαγγελματικών Προγραμμάτων Πιστοποίησης Σύστημα Αναζήτησης Προγραμμάτων Επαγγελματικής Κατάρτισης Λίστα Ιστοσελίδων Εύρεσης Εργασίας Σύστημα Αναζήτησης MBAs σε Ελλάδα και Εξωτερικό Βάση Δεδομένων | E-MENTORING Προσωπική Αναφορά Επαγγελματικού Προσανατολισμού για Μαθητές Επαγγελματικός Προσανατολισμός για την Οργάνωση του Μηχανογραφικού Προσωπική Αναφορά Επαγγελματικού για Μεταπτυχιακές Σπουδές Συμβουλευτική Σταδιοδρομίας για Ενήλικες Υπηρεσία προετοιμασίας για | ΓΡΗΓΟΡΗ ΠΡΟΣΒΑΣΗ |
Στοιχεία επικοινωνίας
Email: info@edujob.gr
Στοιχεία επικοινωνίας
Email: info@edujob.gr
Στοιχεία επικοινωνίας
Email: info@edujob.gr





